OA
您现在的位置: 首页 > 关于万向娱乐 > 企业动态 > 最新资讯 > EIS系列之基本原理及RC电路解析

EIS系列之基本原理及RC电路解析

发布时间:2025.08.29  点击量:

电化学阻抗谱(Electrochemical Impedance Spectroscopy,简称EIS)是电化学进行原位表征的技术手段之一,在氢能、锂电池、电还原等领域均有广泛的应用。其中,针对于氢能领域的EIS测试,特别是燃料电池/电解水单池EIS测试,万向娱乐技术股份有限公司基于自身在测试设备领域的积累,将推出EIS系列文章,从基本原理与RC解析、单池EIS测试常见问题及谱图解析到具备EIS测试能力的氢能单电池测试设备展开,多方面阐述对EIS的理解以及相关的设备进展。本文将从EIS基本原理以及RC电路解析谈谈自身的理解。


一、基本原理


EIS是一种通过向电化学系统施加微幅正弦电压/电流扰动信号,测量其在不同频率(通常10μHz-1MHz)下的电流/电压响应,特别是相位差及幅值比,进而计算复阻抗随频率变化的谱图的技术。其核心在于利用小扰动满足线性响应条件,使系统行为可用频域传递函数表征。EIS计算依赖于采集的电流以及电压数据。比如,对一个锂电池系统,在20A直流运行过程中施加频率10000Hz~0.1Hz,幅值为2A(RMS)的交流电流扰动,过程中采集的电流电压信号如下:

针对每一个频率,此处以1000Hz为例,采集电流电压原始数据,通过FFT相关算法,可以轻易计算出每个频率下电压和电流的幅值比,以及之间的相位差,从而就可以得到该频谱下的阻抗全部数据,类似分析其余频点,可以得到扫频范围内的每个频点下的信息,从而得到全谱图的EIS数据。

EIS基本原理是简单的,复杂的是对于EIS测试结果的分析。在测试结果未被干扰的情况下,EIS结果的分析基本可以分为两个维度,第一个维度是与相关的电路关联,常规是多阶的RC电路,以寻求电路仿真结果和测试结果的高重合性,常用的方法包括等效电路拟合(ECM)以及弛豫时间分析(DRT);第二个维度是将RC的相关参数与被测对象内部的过程关联,通过RC参数的变化解析被测对象内部的状态变化,达到在线监测的目的。
无论是ECM还是DRT,对RC电路的理解,是EIS解析的第一步,因此本文重点介绍RC参数对于EIS谱图的影响。


二、RC解析


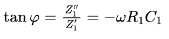
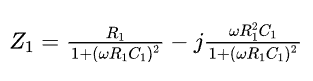
理论推导而言,常规被测对象都可以认为是电阻、电容、电感的组合。其中,在大多数研究中,研究者更加关心的是低频条件被测对象内部的传质以及反应过程,此时容性因素比较大,因此相位基本为负。考虑一个简单的RC并联电路

根据并联电路相关原理,如果此时阻抗为 Z?,则有:


因此可以计算出 Z?:

利用平方差公式,进一步的,有:

按照习惯写为复数的形式:

其中:
实部:
虚部:
相位差:

理想RC的EIS曲线为半圆的一部分,实际理论推导如下:
假设:

则:


将上式两边同时平方,可以得到:
进一步整理有:
也即  


说明一阶RC并联电路虚部对实部作图,是以电阻为直径的半圆,频率决定了相位角的大小,也就决定了NYQUIST图中点的位置。

一个典型的RC并联电路的NYQUIST如下所示。实际过程中,当频率很低时,电容的容抗很大,电流基本从电阻流过,此时RC并联对外的内阻是最大的,相位角接近于0度。而当频率变高,电容分流作用逐渐凸显出来,相位角也向-90度逼近,由于电容的分流作用,RC并联电路的阻抗实际是减小的。理想RC电路是不可能在高频区域与实轴有交点的,而实际EIS测试与实轴的交点,是由于被测对象的感性
以及测试回路接线的感性所导致的。

一般将RC称为时间常数。在RC并联电路中,当RC乘积一样时,Bode图中,其相位差是一样的,但是R大的,其阻抗也会相应变大。
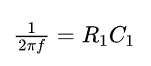
对于一阶RC,考虑一个问题:


扫频过程中,如果有一点满足:
此时,关系式简化为:

该阻抗对应半弧顶部位置,该位置处频率与时间常数有关。
此外,应该进一步研究RC参数变化会对阻抗谱图有什么影响,这里分为三类:R值变化、C值变化、RC值变化。




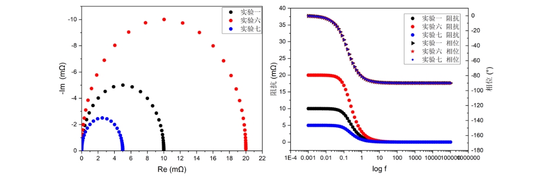
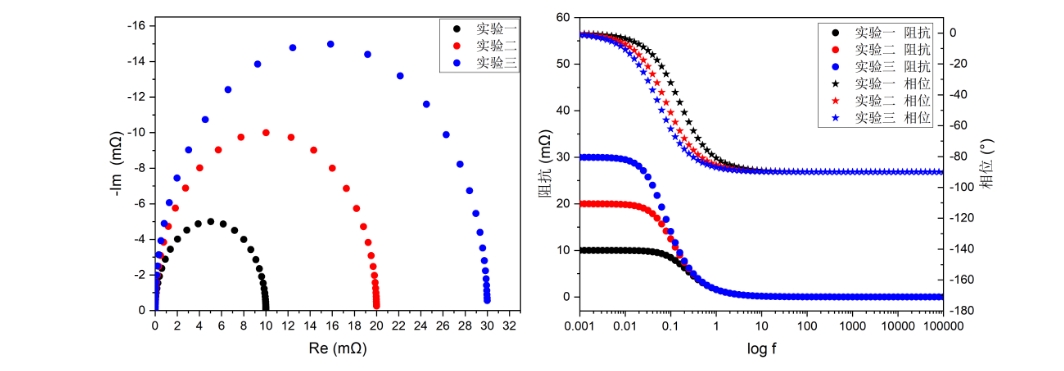
实验一、二、三研究电阻变化对结果的影响,结果如下图所示。左边图形表明,电容和频率相同时候,电阻越大,阻抗模值更大,并且相位差更加靠近电容的区域,这些从基本表达式就可以了解到。

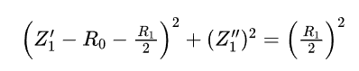
实验一、四、五研究了电容对于结果的影响,结果如下图所示。可以发现,电容大小的改变,不影响NYQUIST的半圆形状,当电阻以及频率都固定时,电容越大,阻抗值越小,相位向负值区域偏移。为了统一,此处按照正负来定义大小,因此电容越大,相位差越小。

实验一、六、七保持RC乘积固定,图中可以看到相位完全一致,阻抗模值与电阻大小的变化保持一致。

一阶RC相对简单,从理论推导就能够大致判断相关情况。但是实际过程中通常有两种现象:
1)被测对象有一定的欧姆内阻;
2)被测对象等效电路由多阶RC组成。
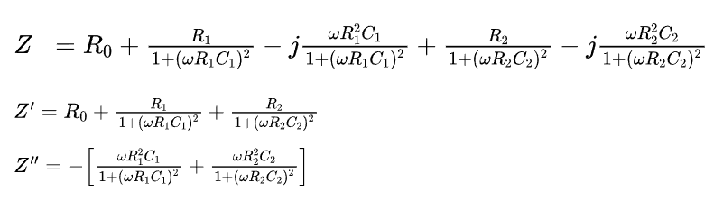
对于情况1,等效电路如下图所示:



其阻抗推导过程可以按照上述进行,结果如下:




如果选取电阻参数分别为5mΩ、8mΩ,电容参数20F,在0.1Hz~10kHz范围内进行扫频,其NYQUIST图如下所示,图中也给出了没有R0时候的数据。这种现象在实际应用过程中是很容易出现的,比如电解水运行过程中的EIS测试,由于极耳本身有一定的内阻,组装过程中电极夹位置不一样,就会造成R0的不一样,进而对结果产生一定的影响。

从上图可以发现,R0值不一样,在NYQUIST图上的表现为整体的左移或者右移,但是对于Bode图中的幅值相位差影响较大,而且不存在线性关系。


对于R0不为0的情况下,此时电路的阻抗表达式可以写为如下形式:


此时可以明显看到,R0和实部之间存在线性叠加,但对于阻抗模值以及相位差的影响,受三角函数以及反三角函数关系的影响,因此呈现非线性关系。
如果进行定性分析,假设施加的电流信号如下:



串联电路电压相加原则,则R0以及R1C1并联处的电压如下:



则此时串联电路的总电压为:




矢量相加决定了无论模值还是相位差均非线性的加减,而实部相当于整体阻抗在横轴的投影,该分量反而可以进行线性运算。
如果电极夹的接线已经对阻抗结果产生干扰,也可以按照上述推导进行修正,以校正电极夹接线对于测试结果的影响。
可以用类似的方法推导,此时弧顶位置对应的点频率必然也满足:



但是由于R0的参与,该位置的相位角不再是45°,而是与R0有关的一个参数。
对于情况2,等效电路如下图所示:
一般电解水和燃料电池均会以下图类似的等效电路进行拟合,其中电容有可能被常相位元件所取代,以描述电极的非理想行为。



按照前述的推导过程,可以给出整体的阻抗表达式为:

相关的表达式在DRT相关的文章中描述比较多。但实际上,二阶RC以后就很难整理成标准圆的形式,因为同一频率下,每一阶RC都会有相应的响应,最后的结果是两阶RC以及R0的矢量叠加。涉及的参数比较多,因为是串联电路,一阶二阶前后顺序不影响最后的结果,因此分析时候默认R1C1≤R2C2。此时时间常数τ = R*C,代表每个RC单元的特征时间常数。时间常数也决定弛豫过程的频率位置:




二阶RC分析比较复杂,当前分析更多是在定性,如何定量解析,并与被测对象内部的反应过程关联,是EIS迈向更加广阔舞台的关键。定量分析也有两个角度:



第一个角度是传统的RC参数解析以及与被测对象内部过程的关联,典型代表就是ECM。但这种方法面临的主要问题是RC的分辨率以及对拟合过程的人为主观因素。RC分辨率是指,采用ECM时,一般时间常数相差10倍以上才能明显区别EIS谱图中的两个半圆,但被测对象内部的过程经常是时间尺度间隔比较小的。以电解水为例,内部的过程可能包含电子传递、质子传递、阳极反应、阴极反应、水汽传输、扩散层与催化层界面的电荷传递等,这里面很多过程的时间常数是接近的,比如阴阳极的反应,未必能相差十倍。最后的结果就是,这些时间常数相差不大的反应过程,会杂糅成变形的半圆,ECM分析时会当作一个RC来处理,除非是传质和反应过程这种相差很大的能分解出来。在被测对象动态变化过程,比如电流密度变化,温度变化,甚至长时衰减,ECM解析出来的RC值也是综合的一个数值,或许过程中每个参数都会按照一定的规律变化,但最终体现出来的RC值却难以解析。这是由于ECM本身的原理决定的。


另一个角度是DRT,ECM的缺点就是DRT的优点,但是DRT本身也在解决数学上类似于病态的问题,正则化的引入也会增加一些人为的因素,但相比ECM,DRT是更有希望解决EIS解析的问题,还需要一些时间进行算法优化,以及结果与被测对象的关联解析。


无论那种方式,RC电路都是基础,因此本文重点分析的也是二阶RC参数变化对于结果的影响。


二阶RC大约可以分为三种情况:


1)电阻量级基本相当,电容导致的时间常数的差异;
2)电容量级基本相当,电阻导致的时间常数的差异;
3)电阻电容都有较大的差异导致的时间常数的差异
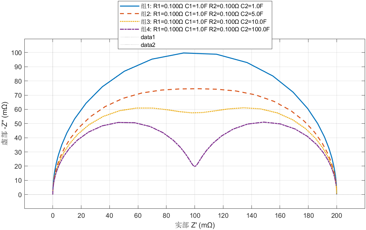
对于情况1,设计如下实验





对于情况2,设计如下实验:


对于情况3,设计如下实验:


从图中可以看出,时间常数相差十倍只是一个建议值,具体与RC的具体参数有关。当电阻相差不大时,电容即使相差不大,也比较容易区分出双弧结构,但是当电阻差别大的时候,双弧结构就变得不是很明显。


如果把类似于一阶的弧顶作为特征点,其实二阶相对复杂,不一定能够表现出来相应的结构。


三、具备大电流EIS测试能力的单池测试设备—C100 & E500系列


EIS解析需要理论的累计,然而行业当前面临的是大电流EIS的低成本测试方案,特别是对于电解水电源体系对电化学工作站EIS测试的影响问题。基于此,万向娱乐技术股份有限公司自主研发了具备EIS测试能力的电解水用电源以及燃料电池用负载,并分别集成于公司电解水单池测试产品E500以及燃料电池单池测试设备C100中,可以实现最大200A直流输出的同时,执行±20A的EIS测试,在源头解决电源体系对电化学工作站EIS测试的影响问题。


四电极接线方法下,相关产品的测试结果可以与国内外相关电化学工作站测试结果进行对比,见下图。



图:EIS测试结果与国外电化学工作站对比



同时,集成后的C100、E500还具备HFR实时监测、断电流内阻实时监测能力,电流电压三角波、方波、线扫等动态工况能力。以有效面积25c㎡ PEM电解水为例,展示其100A运行过程中的断电流内阻监测、HFR监测以及EIS测试结果,以及25A、50A、75A、100A电流下的EIS测试结果。同时对比了新一代燃料电池单池测试台C100-P与前一代产品C100-N及国内外产品标机功能对比表。



图 E500系列电解水HFR、断电流内阻以及EIS实况图




图 基于E500系列测试电解水不同电流下的EIS结果






表 新一代燃料电池单池C100-P标机功能对比表



新一代C100-P燃料电池单池测试系统在性能指标上测试结果与国外产品一致,电化学指标上与工作站测试结果吻合。万向娱乐充分发挥自身氢电融合的优势,实现了单池测试装置的多物理量测控和电化学测试的一体化无缝集成,有利于提升氢能材料研究和开发的效率,让测试更精准、便捷。